| Date |
In Class |
Assignments (due next class unless noted) |
| 1/26 |
Go over syllabus, §1.1.
Definition.
|
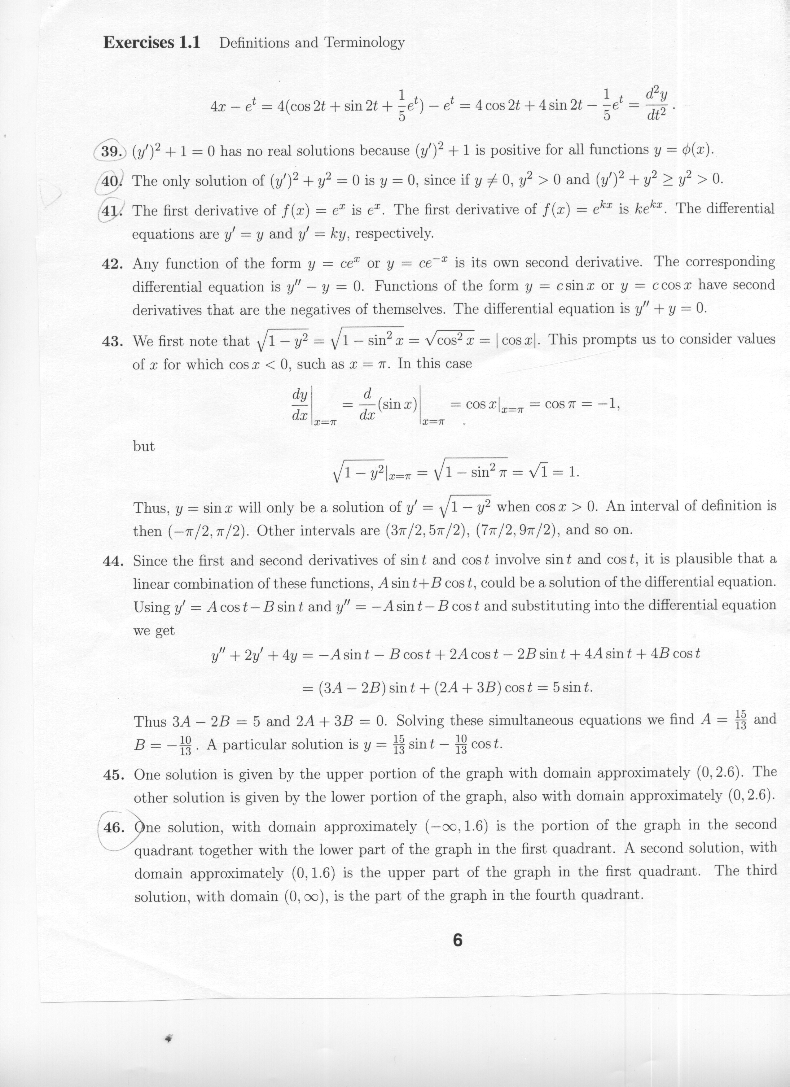
1-10, 12, 14, 15, 16, 24, 27, 29, 31. To discuss: 39-41, 46. Please show work on the
problems you hand in. |
| 1/28 |
§1.2.
Existence and Uniqueness |
1.2: 1, 4, 7, 8, 11, 12, 15, 45 |
| 1/30 |
§1.3 through"Spread of a Disease". We will omit or defer "Draining a Tank" on |
1.2: 17, 18. 1.3: 1, 3, 4, 5, 7, 8. |
| 2/2 |
§1.3, "Mixtures," §2.1.
Examples 1, 2a, 2b. |
1.3: 9, 10, 11, 23, 29, 31. 2.1: 1, 4, 16 (to discuss).
Think about how DEs might be used to understand global warming. |
| 2/4 |
Global Warming. §2.2.1. DP Graph. |
2.1: 19, 20. Develop and explain your own differential equation that describes some
aspect of global warming. It can be a variant on what we did in class. |
| 2/6 |
|
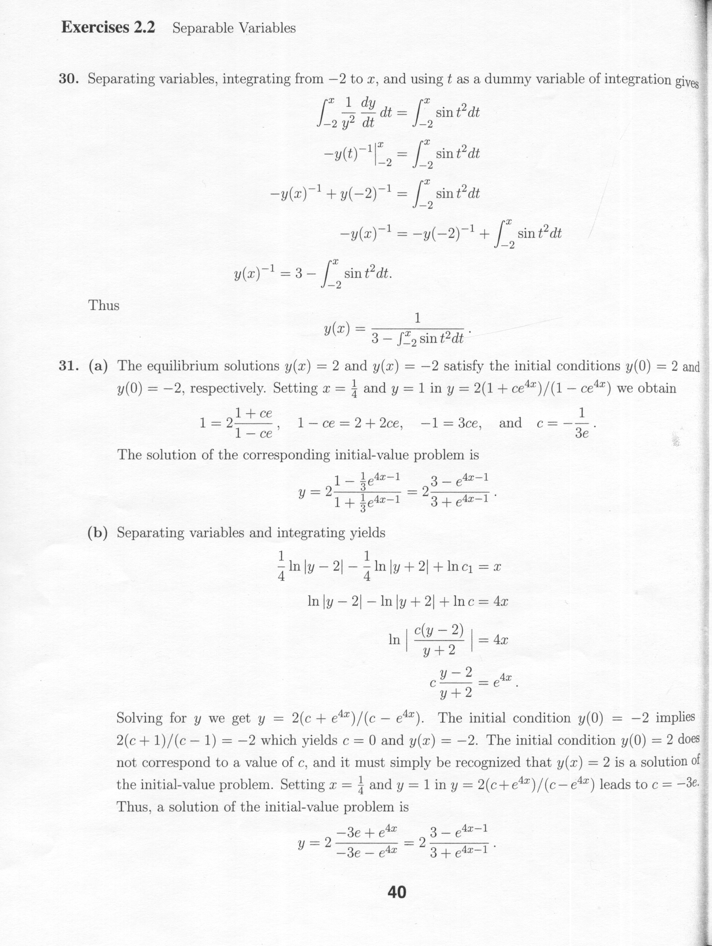
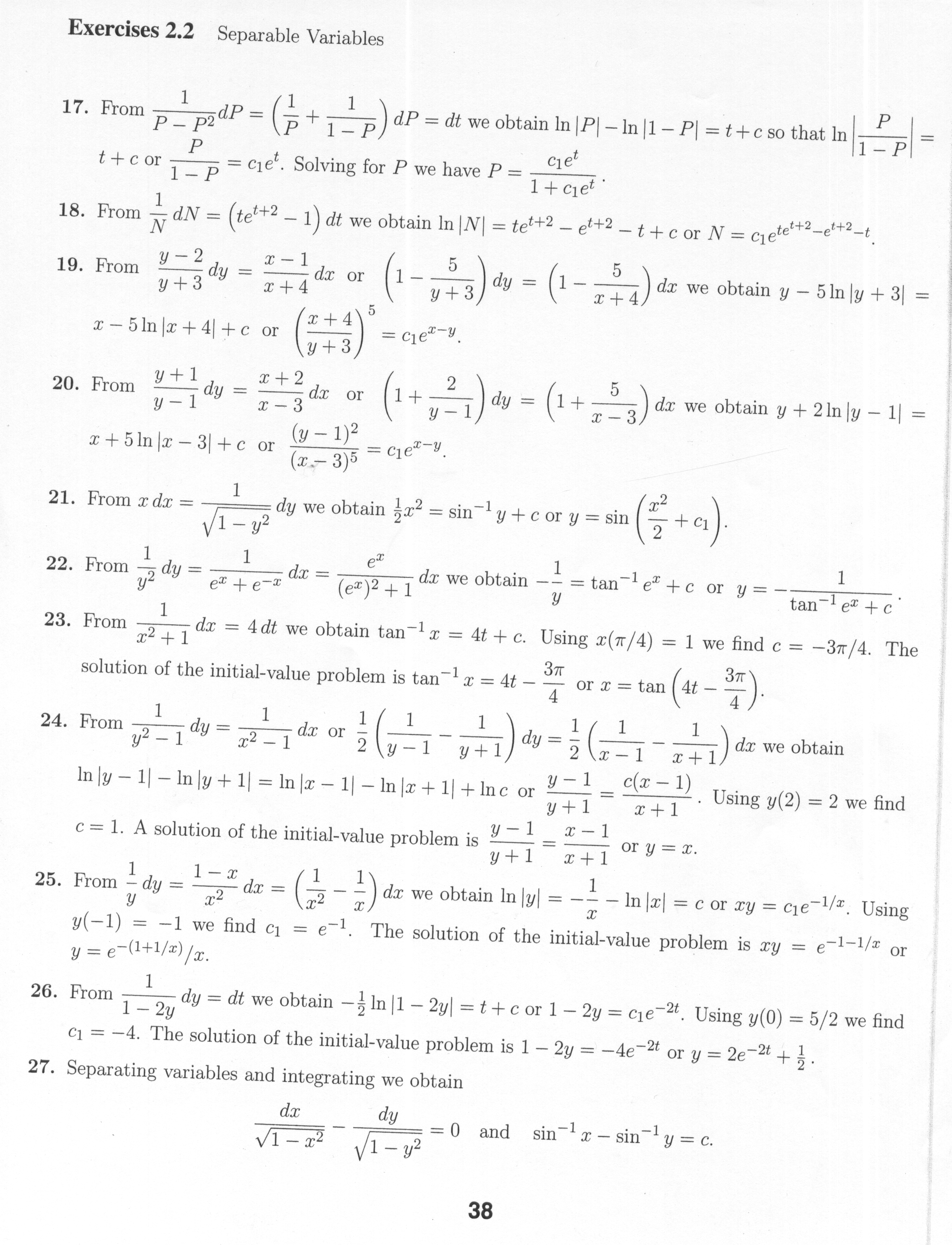
2.2: 1, 2, 5, 6, 7, 11, 12, 13, 24, 29, 30 |
| 2/9 |
§2.3. I find the explanation of variation of parameters on p. 54 confusing. Do not
memorize this formula for solving a first-order linear equation, rather use the fact that the
integrating factor is e∫P(x)dx.
.
|
2.2: 32, 43. 2.3: 1, 3, 4, 7, 10, 12, 13. "Transient" is defined on p. 58.
I will talk about it more Wednesday. Short quiz Friday on separable and linear DEs.
|
| 2/11 |
Finish §2.3. y'+2y=6. Omit example 6. Do example 7 in class. |
2.3: 2, 5, 16, 25, 26, 29, 47 and diet model. |
| 2/13 |
Quiz 1 ans. Exact equations |
2.4: (may be handed in Wed) 1-5, 7, 12, 13, 19, 22, 28, 29. |
| 2/16 |
Finish 2.3 |
|
| 2/18 |
2.5: Solution by substitution. 2.4 #29. |
2.5: 1, 2, 5, 6, 11, 15, 16, 38 |
| 2/20 |
Dr. Kelly Kadera '87 will speak in class
(slides). Please also attend Science Colloquium |
Read "A Predator Prey Model" on p. 107-108. Review questions, you do not need to hand in (p.80) 1-7, 9, 10, 11, 13, 14, 17, 19, 20. |
| 2/23 |
Exam 1 preparation |
|
| 2/25 |
Example 2
Exam 1 answers,
comments
Makeup answers. |
2.6: 1, 4. (ans)
Read 3.1 (skip series circuits). |
| 2/27 |
§3.1 applications: notes. |
3.1: 1, 2, 6, 7, 10, 12, 13, 21, 22. |
| 3/2 |
§3.2 |
3.2: 1, 2, 5 |
| 3/4 |
§3.3 |
3.3: 1, 4, 5, 6, 7, 8 |
| 3/6 |
§4.1. Existence and Uniqueness |
1, 4, 5, 9, 10, 12 |
| 3/9 |
§4.2 |
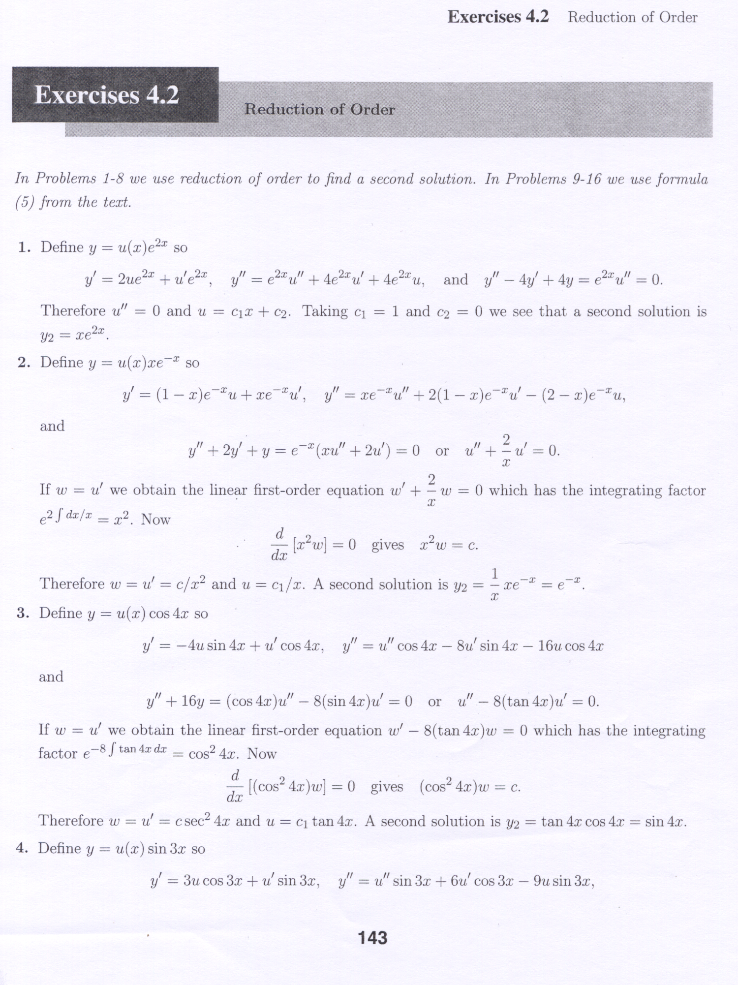
4.2: 1- 4, 8, 18, 19 |
| 3/11 |
§4.3 |
4.3: 1, 2, 3, 8, 9, 12, 15, 16, 29, 30, 37, 40 |
| 3/13 |
§4.4 |
4.4: 1, 4, 6, 9, 13, 26,29, 30 |
| 3/23 |
§4.7 (skip 4.5, 4.6), Start 4.8 |
4.7: 1, 2, 3, 4, 13 |
| 3/25 |
§4.8 |
4.8: 1, 2, 3, 4, 5, 7, 15 |
| 3/27 |
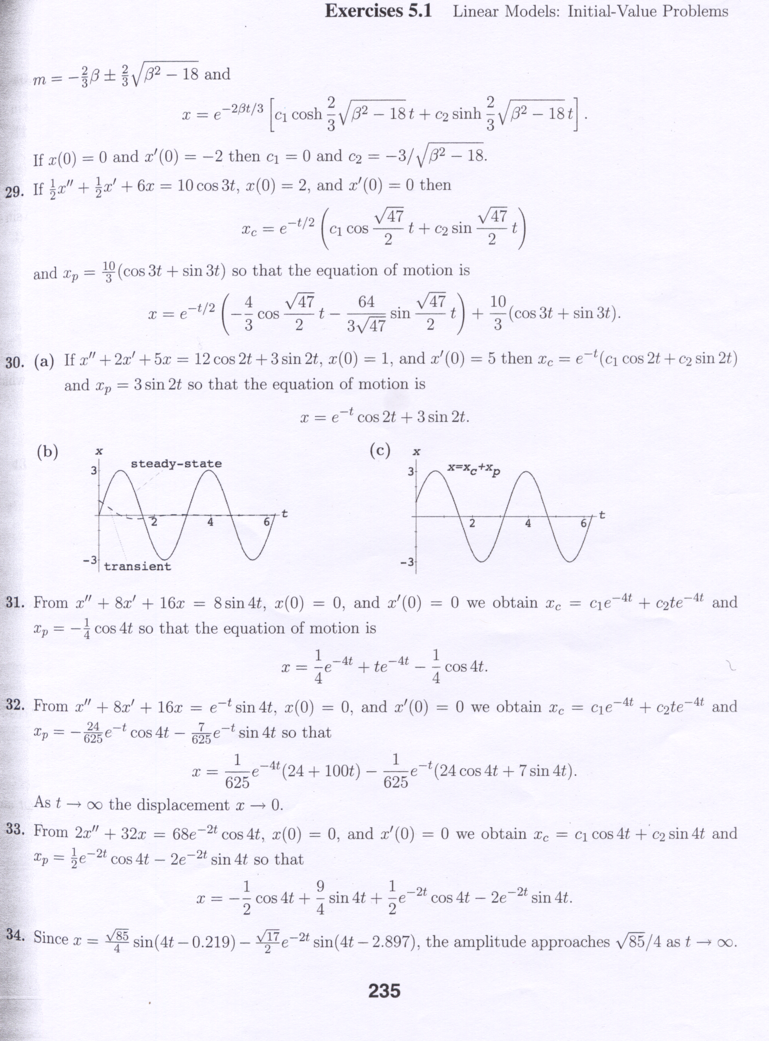
§5.1 |
5.1: 1-5 |
| 3/30 |
Finish §5.1 |
Not to hand in: Chapter 4 Review: 2, 3, 4, 7, 9-11, 24, 38.
|
| 4/1 |
Review (send questions via email) |
practice |
| 4/3 |
Exam 2 preparation,
solution. |
|
| 4/6 |
§5.1. Skip 5.1.3, Series Circuit Analogue |
5.1: 21, 22, 29 |
| 4/8 |
§5.2 (only example 1) |
5.2: 1-2, 6. Chapter 5 Review: 1, 2, 3, 18. |
| 4/10 |
§6.1 |
6.1: 1-4, 6, 8, 9, 11, 12, 13 |
| 4/13 |
§6.1 |
6.1: 15, 16, 17, 18, 19, 29, 36, 37 |
| 4/15 |
Quiz on Chapter 5 (summary).
Answer.
Convert
from .docx to .doc. |
|
| 4/17 |
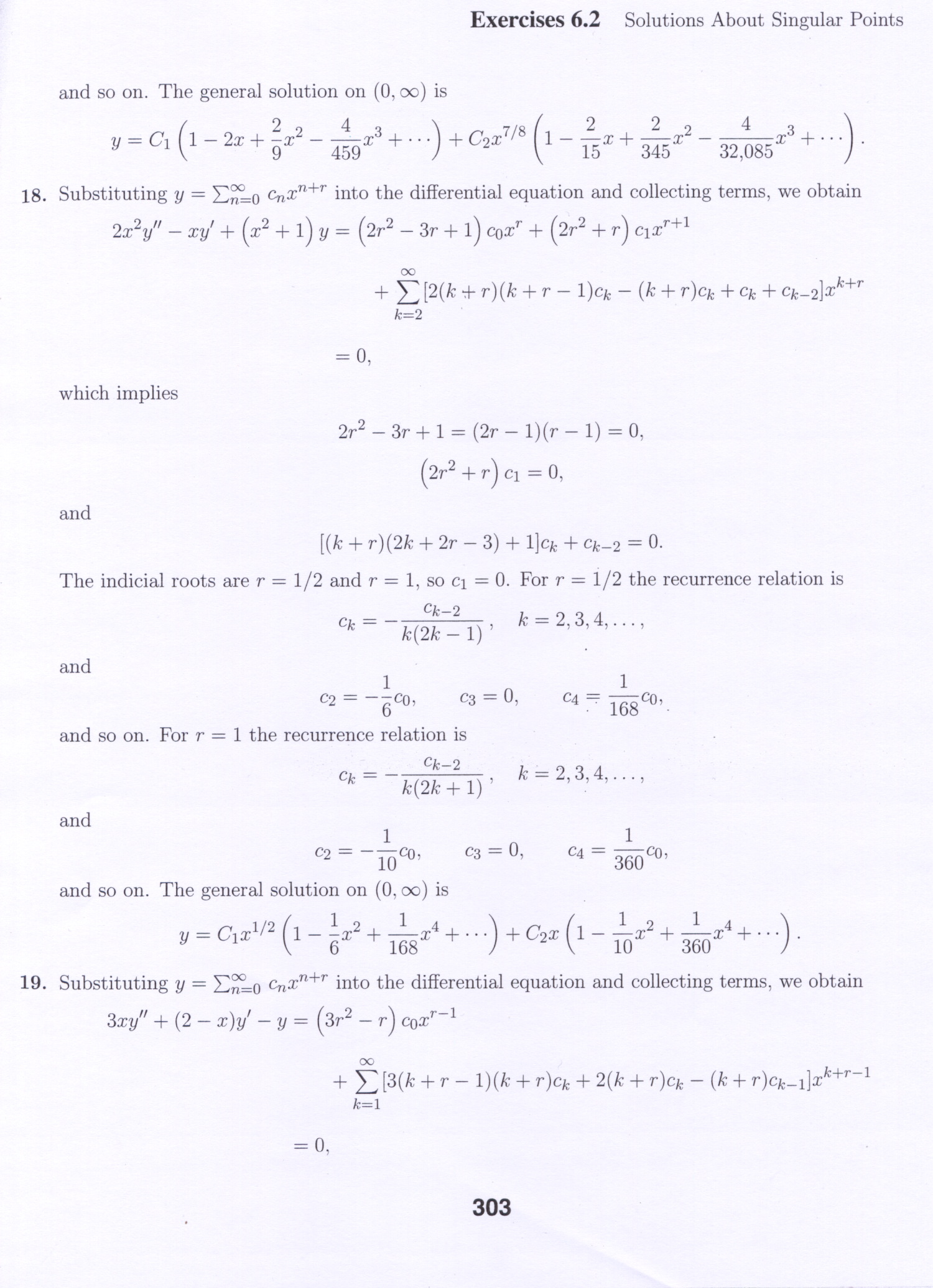
§6.2, Read only to end of Example 4. |
6.2: 1-12 |
| 4/20 |
§6.2. Notes. |
6.2: 15, 16 |
| 4/22 |
Do 6.2 18 in class. |
Review Appendix II if needed |
| 4/24 |
§8.1 |
1, 2, 4, 8, 11, 12, 17, 22, 25 |
| 4/27 |
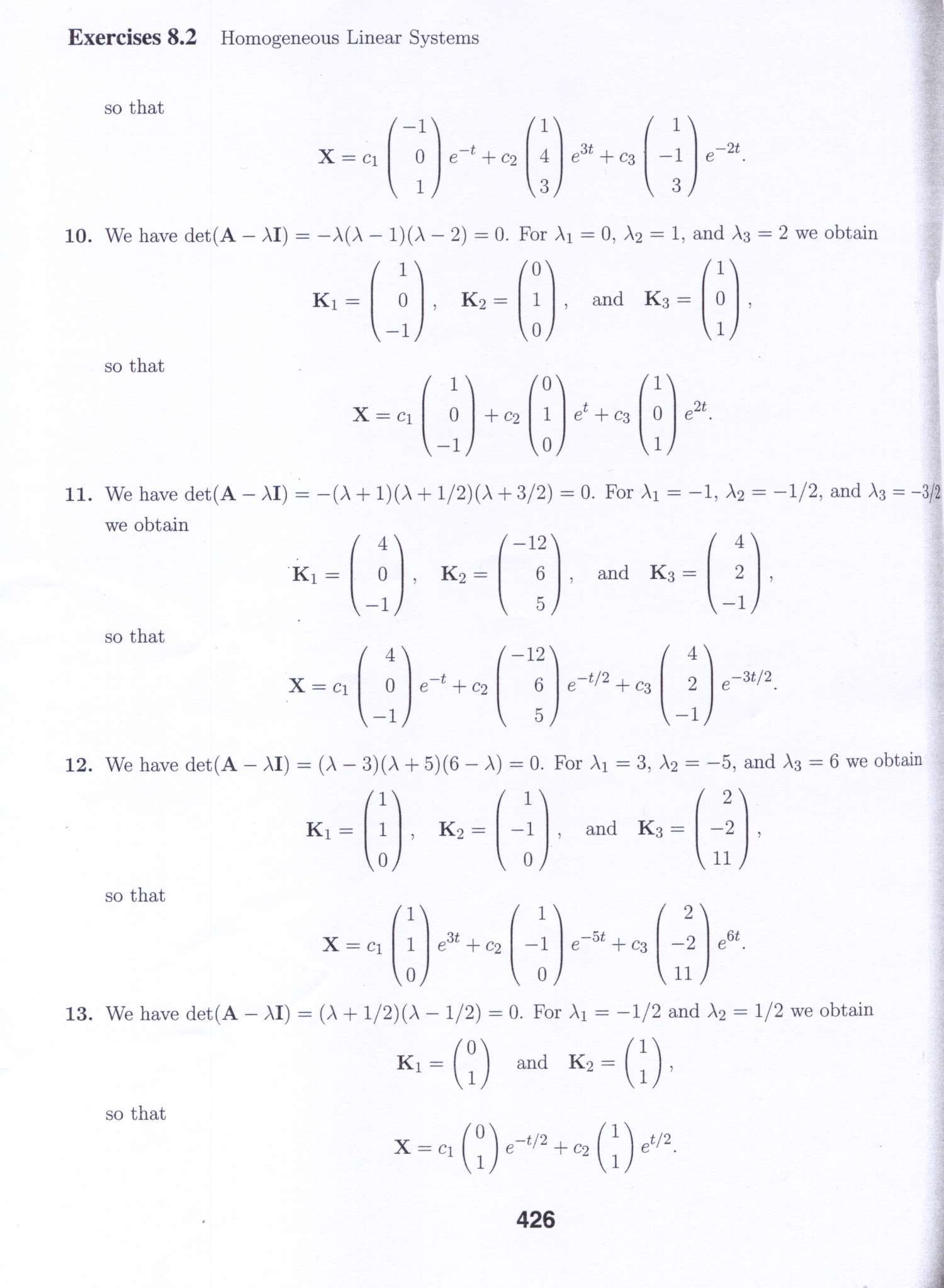
§8.2.1. We will skip phase portraits. |
8.2: 1, 2, 9, 10, 13 |
| 4/29 |
§8.2.2, §8.3.1 (not on exam) |
8.2: 19, 20. 8.3: 1, 2 |
| 5/1 |
Exam 3 preparation,
answer. |
|
| 5/4 |
§7.1 |
1, 4, 6, 8, 10, 13, 19, 23, 29, 31, 32 |
| 5/6 |
§7.2 |
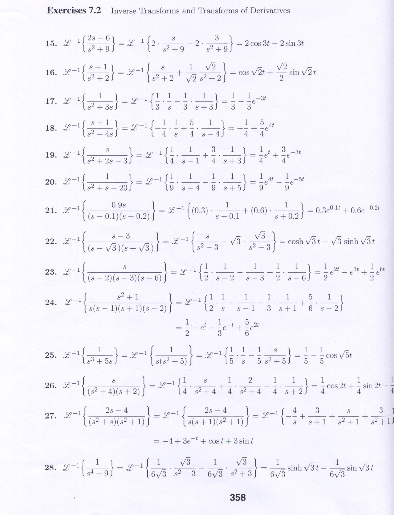
1, 2, 4, 5, 7, 9, 12, 16, 31, 34, 35, 38, 40. |
| 5/8 |
What are the recurring themes in this course? Integral equations 1,
2. |
|
| 5/13 |
Final Exam |